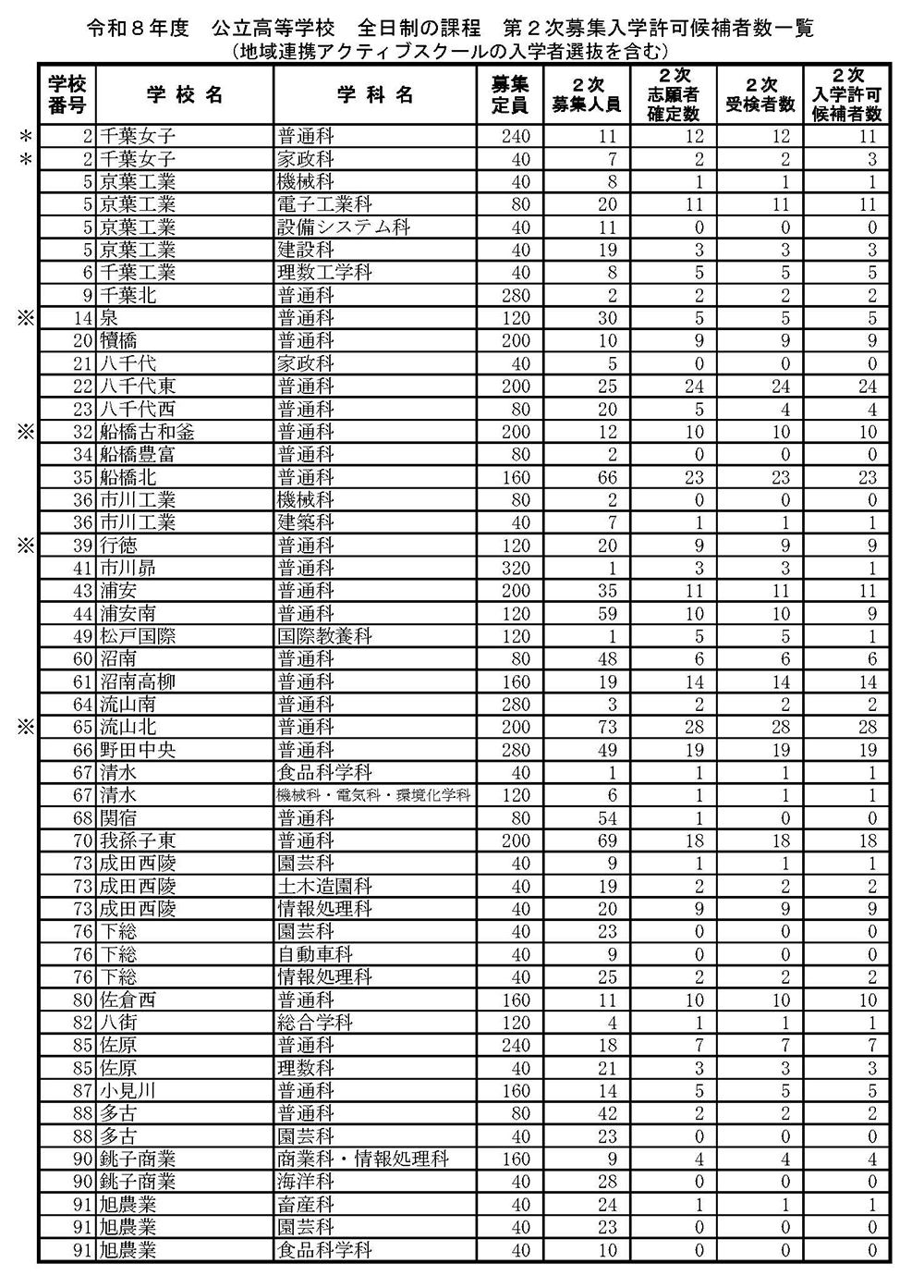
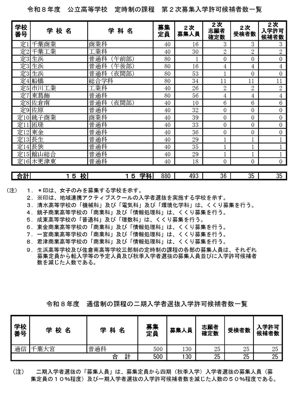
#速報#学校関連#千葉の入試情報#高校入試 #千葉県 2026/3/13 5:13 (4/16 23:14更新) 有料記事 保存 拡大する ※写真はイメージ 千葉県教委は13日、県内公立高入試(今春入学)の2次募集の全日制で318人が合格したと発表した。募集人員に満たなかった56校90学科(計1557人)については追加募集をしない。 県教委によると、2次... この記事は 有料記事です 残り158文字(全文258文字) 関連記事/あわせて読みたい 千葉県立高「学区」廃止望む声 都や近隣県では約20年前に撤廃 生徒署名に7000人賛同 【千葉インサイト】 水産3高校、遠隔地からも生徒募る 銚子商、館山総合、大原 千葉県内受験生対象に初導入 来春県立高入試から 【過去問】千葉県 公立高校入試(問題・解答・解説)【2025年度まで】 ▶千葉の入試情報 特集ページ #速報#学校関連#千葉の入試情報#高校入試 #千葉県 前の記事酒気帯び運転の疑い、船橋次の記事JR東日本 平均7・1%値上げ 民営化後初 東京-千葉は60円増 増収分安全対策などに 14日から
飼い猫がSFTS感染 千葉県内初確認、マダニ媒介のウイルス04/23 15:58#速報#動物 成田空港機能強化へ提言 官房長官に自民議連04/23 17:07 #成田空港#速報 関東で地震 M3.4 震源は茨城県北部 地震が及んだ地域人口21万人04/23 08:58#速報 「源氏食堂」4月末閉店 寂しい…惜しまれつつ 豚肉料理、ドラマで人気 孤独のグルメ いすみ04/23 05:00 #グルメ#お出かけ 成田空港の電力支える 中央受配電所を新設へ グリーン・エナジー・フロンティア 【ちばの元気企業】04/23 05:00 #ちばの元気企業 ネモフィラの絨毯一面に 千葉市若葉区の富田さとにわ耕園04/22 16:02#速報#お出かけ ちばコーギースタンプ売上寄付 子どもの自立見守る資金に 千葉興銀がNPO支援04/23 05:00 「こども誰でも通園制度」を持続可能な仕組みに 実施園の現場が語る課題と可能性 【保育の窓から見えること キートス統括園長・⽇向美奈⼦さんに聞く】(1)04/22 20:00 ユース代表で世界1位 バレー始めて2年たたず 千葉市立若松中学校 南夏希さん きっかけ「顧問おもしろく」04/23 05:00